Travel Agencies Association of Sahiwal
Regular meetings are held for the betterment of Association to make key decisions and for the stake of members welfare and to promote the trade by Cabinet Members.
Members Can get updated information and key points discussed and implemented in meetings.
Latest Meeting will be on top.
4th Meeting Agenda
Multiple aspects discussed regarding visits, 2nd resolution, Subscription collection and New Registrations etc.


3rd Meeting Agenda
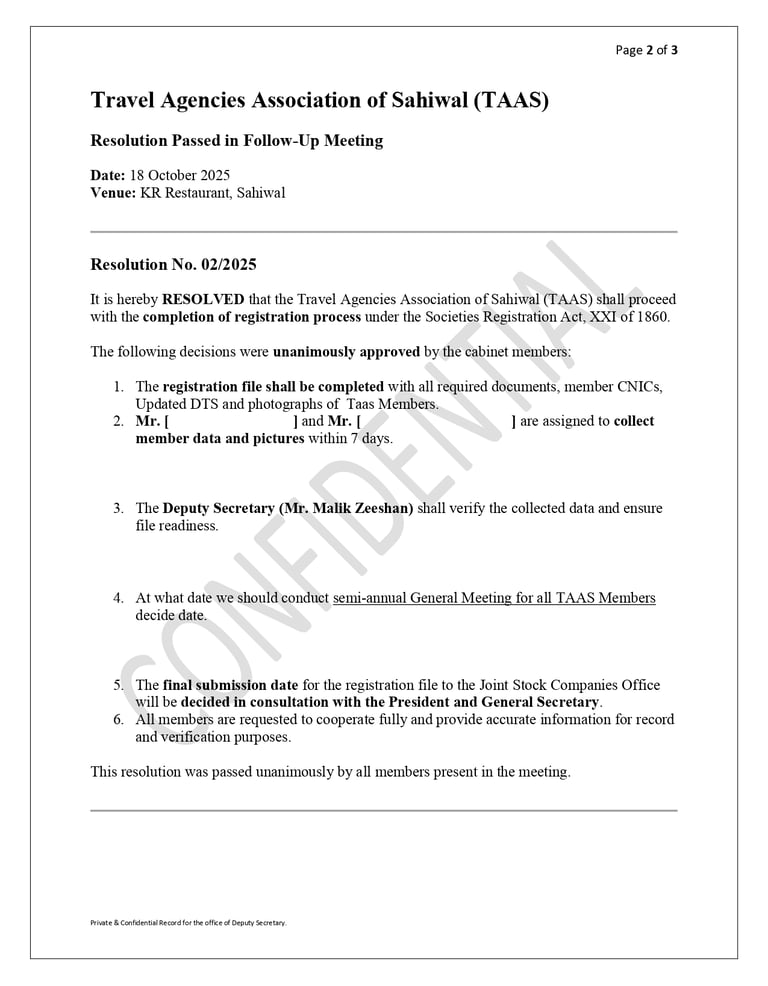
Resolution to Register TAAS as Travel Agencies Association of Sahiwal has passed and key decisions made in this meeting.


2nd Meeting Agenda
Many channels and News Papers had covered the formation.


1st Meeting Agenda
After this meeting General Meeting was called and shields distributed among members by Minister Peer Syed Imran Ahmad Shah sb


Travel Agencies Association of Sahiwal
Regular meetings are held for the betterment of Association to make key decisions and for the stake of members welfare and to promote the trade by Cabinet Members.










